Overview
The primary purpose of the mechanics simulation is to provide students a realistic environment where they can explore and better understand the concepts in Newtonian mechanics using fundamental mechanics methods. In the mechanics simulation, experiments are performed in a framework consistent with the other virtual simulations; that is, students are put into a virtual environment where they are free to choose their objects and equipment, build a conceptual experiment of their own design, and then experience the resulting consequences. The focus in the mechanics simulation is to allow students the flexibility to perform many fundamental experiments to teach the basic concepts of Newton’s laws that are easier to model in a simulated situation rather than a real laboratory. The ability to control the frictions, forces, and physical parameters of motion allows students the ability to easily use equipment that can be found in most instructional laboratories and some equipment that would be less readily available. Students are able to measure speeds and distances, describe the motion of objects using graphs, interpret data, and gain a foundation for concepts in physics. These results can then be used to validate Newton’s laws; demonstrate the interplay between force and motion; and calculate conservation of momentum under variable initial conditions and parameters.
Simulation Principles and Features
Free Motion. The purpose of the free motion experiments is to model the behavior of objects in basic projectile motion. The effects of air resistance, continuous or impact forces, and gravity can be studied and data can be saved for later graphical and numerical analysis. The experiments allow students complete control over the forces acting on objects in motion, which allows them to understand the ideal and real behavior behind Newton’s Laws. Within these experiments the student can choose either a ball or sled and watch how it moves through the air when different forces are applied, in the presence of air resistance, and with a variety of types of gravity. The basic principles of projectile motion can easily be studied by examining the trajectories both qualitatively and quantitatively. Orbital motion is also simple to simulate by choosing a radial gravity field or gravity sink and then studying the initial velocities or forces that would be necessary to put an object into orbit around the origin. The principles of angular velocity and acceleration can be examined by studying the motion in polar coordinates. These simulations are useful to study kinematics by teaching about free falls with constant acceleration, the affects of the initial angle of velocity to determine the range and components of velocity, the concept of terminal velocity, and the principle of what variables affect the speed of an object falling through the air.
Simulation Assumptions and Equations
Free Motion. Basic Newtonian force equations were used to model the motion of the objects within these experiments. All force equations were solved using a Runge Kutta Fehlberg Forth-Fifth (RKF45) numerical method to solve the differential equations. The two second derivative equations were manipulated into four first order equations and then integrated through RKF45 to find the position and the velocity equations of motion of the objects. The assumptions and generalizations made are described below.
| Objects | We have not modeled the twisting, bending, compression, or other physical deformations that could occur throughout the experiments. The ball is assumed to be a point mass with a defined radius. The sled does not rotate when it is used in projectile motion but moves just like the ball but with a different coefficient of air resistance due to its shape. The surface of the sled is also perfectly smooth. | 
| Gravity | In most cases the gravity is taken to be equal to one g on earth or 9.80665 m/s2. The various types are described below. There are four types of uniform gravity: up, down, left, and right. These create a gravitational field in the chosen direction whenever they are placed in the motion area. The limitation is one gravity can be chosen at a time, which implies that no gravity fields can be created in the diagonal direction. In addition to the uniform gravities, there is also a radial gravity or gravitational sink. When applied to the motion area, it pulls all objects toward the origin. | 
The assumptions and limitations of forces and air resistance are described below as they are common to multiple experiments.
Forces. The forces applied in the lab can be one of two types, a rocket force or a plunger force. The rocket force is a continual force of a chosen magnitude which can either be applied for a set time period or indefinitely. The impulse force (plunger) hits the object with a chosen magnitude for a short period (default 0.05 seconds) of time thus giving the object an almost instantaneous initial velocity. The assumptions are those of a perfect rocket force with no flaws in ignition and an exact central hit from the plunger to prevent spin.

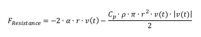
Frictions. A friction is considered something that opposes an object’s motion. In this laboratory there is only one types of friction available. With air friction we have combined linear and quadratic air resistance terms to create a general air resistance. Linear air resistance is modeled proportional to the velocity, radius, and a constant generally agreed to be α = 0.000155. The quadratic air resistance term is proportional to the cross-sectional area of the object, the air density at the chosen altitude, the square of the velocity and a constant describing the irregularity of the surface Cp = 0.5 for the ball and Cp = 1.0 for the sled. A larger value for this constant could be chosen to model a much more irregular object, up to a value of 2. The equation to the right is what is used to apply the air resistance.
